本周,继第九批国采之后,又一批带量采购有结果了,全是未纳入国采的品种。
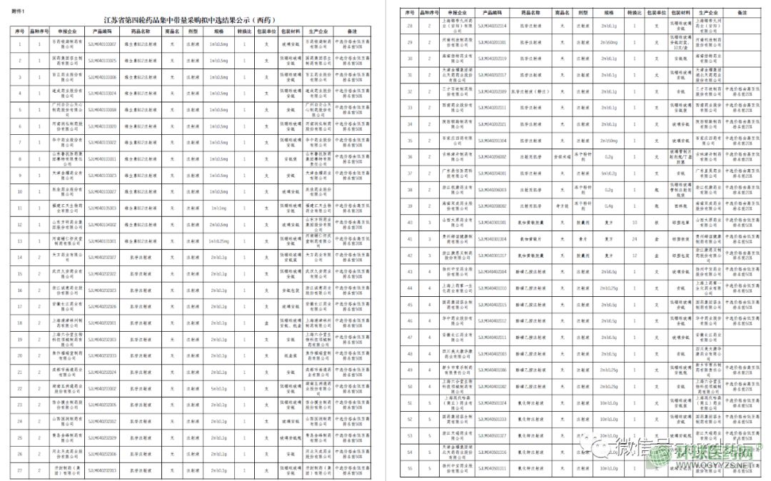
江苏省医保局发布《江苏省第四轮药品集中带量采购公告(四)》,根据工作安排,江苏省第四轮药品集中带量采购完成了网上竞价和价格纠偏等工作,专家组对网上竞价和价格纠偏过程进行了评审,产生本次采购拟中选结果,予以公示。

公示时间:2023年11月9日-11月11日17:00。
未参加国采品种,上月纳入省采
10 月 11 日,江苏省公立医疗机构药品(医用耗材)阳光采购联盟办公室发布《江苏省第四轮药品集中带量采购公告(一)》,经专家论证,从未纳入国家组织药品集中带量采购的药品中,筛选确定江苏省第四轮药品带量采购品种。
目录简表如下:
西药部分
# 品种 类型
1 维生素 B12 注射剂
2 肌苷 注射剂
3 氨咖黄敏 口服常释剂型
4 酚磺乙胺 注射剂
5 氯化钾 注射剂
6 三磷酸腺苷二钠 注射剂
7 氢化可的松 注射剂
8 浓氯化钠 注射剂
9 二羟丙茶碱 注射剂
10 妥布霉素 注射剂
11 复方氨林巴比妥 注射剂
12 炎琥宁 注射剂
13 甲氨蝶呤 注射剂
14 甲氨蝶呤 注射剂
15 庆大霉素 注射剂
16 氯化钙 注射剂
17 单硝酸异山梨酯 注射剂
18 克林霉素 注射剂
19 赖氨匹林 注射剂
20 复方氯化钠 注射剂
21 妥布霉素 滴眼剂
22 门冬氨酸钾镁* 注射剂
23 复方氨基酸(18AA) 注射剂
24 乙酰谷酰胺 注射剂
25 开塞露 外用液体剂
(灌肠剂)
26 普罗帕酮 口服常释剂型
27 复方氨酚烷胺 口服常释剂型
28 大蒜素 口服常释剂型
29 双唑泰 栓剂
30 硫普罗宁 注射剂
31 替硝唑 注射剂型
32 长春西汀 注射剂
33 凝血酶 散剂(冻干粉)
34 小檗碱 口服常释剂型
36 (重组)人表皮生长因子 滴眼剂
37 (重组)人表皮生长因子 冻干粉
38 (重组)人表皮生长因子 凝胶剂
39 (重组)牛碱性成纤维细胞生长因子 凝胶剂
40 (重组)牛碱性成纤维细胞生长因子 眼用凝胶剂
中成药部分
# 品种 类型
1 小金 口服
2 康复新 口服
3 百令、至灵、金水宝 口服
4 舒血宁 注射
5 血塞 通、血栓通 注射
6 血府逐瘀 口服
7 双黄连 口服
8 双黄连 注射
9 肾衰宁 口服
10 参麦 注射
11 丹参 注射
12 灯盏花素 注射
13 乌灵 口服
14 麝香保心 口服
15 喜炎平 注射
16 连花清瘟 口服
17 肺力咳 口服
原则上以各品种全省公立医疗机构(含军队驻苏医疗机构,下同)申报的下一采购年度需求量的80%(抗生素类、国家重点监控品种为70%)为约定采购量。
本次药品集中带量采购周期为2年,必要时可延长。采购周期内若提前完成当年约定采购量,超出部分用药需求,中选企业应按中选价继续进行供应,直至采购周期届满。采购周期内,如中选药品纳入国家集采,执行国家集采结果。
更多>>本周推荐
更多>>热点文章
版权声明:如涉及版权问题,请作者持权属证明与本网联系 温馨提醒:本站征集文章!欢迎各位医药行业人士投稿!投稿加QQ:34899726
环球医药招商网 www.qgyyzs.net 版权所有 © 2003-2021 盗冒必究 中华人民共和国电信业务许可证:浙B2-20090049
客服热线:0571-87882385 0571-85885083 投诉电话:18705818689 QQ客服:
Email:sales@qgyyzs.net
中华人民共和国互联网药品信息服务资格证书编号:(浙)-经营性-2014-0015号
本网站由浙江民禾律师事务所做为法律顾问